
A bird’s-eye view of the Large High Altitude Air Shower Observatory (LHAASO). (Image: IHEP)
Cosmic rays (CRs) have long puzzled scientists. What kind of drastic physical processes could have produced these highly energetic particles? How come the flux of them drops severely at energies beyond 3 peta-electrovolt (PeV, or 1015 eV), forming a knee-like bend?
Two papers respectively published on November 16 and November 17 gave the answer.
Achieved by LHAASO Collaboration, an international consortium joining researchers from the Institute of High Energy Physics (IHEP), Chinese Academy of Sciences (CAS), Nanjing University, the University of Science and Technology of China under CAS, La Sapienza University of Rome, and other institutions, the two advances provide observational evidence as well as an insightful explanation for the origin of ultra-high energy (UHE, above 1014 eV) CR particles, and unveil how the “knee” on CR spectrum comes into being.
In the paper published in the National Science Review (NSR) on November 16, the LHAASO Collaboration reported that microquasars, or accreting stellar-mass black holes that pulse out relativistic jets, are the hidden engines that have driven the UHE CR photons. In another paper published in Science Bulletin the next day, the same team further presented a high-precision measurement of cosmic-ray (CR) protons within the Milky Way, revealing an unexpected increase of flux in the UHE region, overlapping the “knee.” This new structure, interpreted the authors, could be associated with a new type of sources, possibly microquasars.
Echoing with each other, the two advances filled a long-existing gap in astrophysics.
Cosmic Rays and “PeVatrons”
CR particles are actually atomic nuclei, and very tiny fraction of electrons, photons and neutrinos, flying at velocities approaching the speed of light. Since discovered in 1912, they have puzzled scientists. What kind of intensive physical processes could have produced them? What has driven them to such high velocities?
Different models have been proposed to explain their energies. A widely believed theory analyzed that CR particles were produced by supernovae remnants: They were accelerated by the shock waves resulting from the supernova. However, later observations and calculations both demonstrated that such shock waves were difficult to drive particles to PeV energies. Some proposed that highly magnetized and fast-rotating massive stars (pulsars) can also do this job. Such natural astrophysical mechanisms that can speed up CR particles to PeV energies are termed PeVatrons, hinting to the Tevatron, a man-made accelerator used to be operative at the Fermi Lab near Chicago, Illinois, the USA that could drive particles up to teraelectronvolt (TeV, 1012 eV) energies.
The Bizarre “Knee”
Back in 1958, Khristiansen and Kulikov found in their experiment an expedited drop in the number of CR particles when the energy approaching 3 PeV. Generally, the higher the energy, the fewer CR particles can be detected, with the flux roughly following a negative power-law curve with an exponent index of -2.7. But from around 3 PeV, a steepening occurred in the down-ward trend, indicating a quicker decrease in the number of particles beyond this energy threshold, with the exponent index gradually changing to about -3.1. More surprisingly, different experiments around the world, regardless what CR composition they target on, all have detected this structure, though the exact energies at which the knee-like bend manifests vary with particle compositions and instruments. Approaching 400 PeV, a further accelerated drop occurs, suggesting even more severe “losses” of UHE particles beyond this energy.
To explain how the “knee” has come into being, different models were proposed. Some interpreted it as the energy limit for CR acceleration, some took it as a result from changed CR propagation. Many open questions are still pending for answer. Among them, recurring is the origin of CRs: Where have such UHE particles come from? What could have accelerated them to such high energies? The search for PeVatrons has hence begun, in the hope of locating them and understanding their possible underlying mechanism.
Evasive UHE Particles
Specific observation of different CR compositions is important for understanding the “knee,” especially protons. Some models predicted that cosmic accelerators can only drive heavy nuclei to energies beyond 1 PeV; light nuclei, particularly the lightest one, proton, could not reach that energy limit. Therefore, the identification of protons and measurement of their spectrum, seeking the possible knee in particular, became an earnest quest.
However, on the “knee,” CR particles are extremely scarce, for example only few particles can be detected using a ~1 m2 detector in a year.
To detect sufficient number of CR particles, only ground-based vast arrays can provide wide-enough effective collecting areas; unfortunately, such large instruments have to overcome the severe disturbance from and the absorption of the atmosphere to identify the dim, sporadic signals.
To address the above challenges, scientists adopted a smart strategy to indirectly observe CR particles: Measure the cascade reactions they trigger in the atmosphere!
When the energetic particles bump into the atmosphere, they collide with the air nuclei at the top layer to produce different secondary particles, like pions and kaons. These secondary particles will immediately decay or further interact with the air nuclei again, producing other particles like muons, electrons, photons, and so on. Unfolding like an extensive air shower (EAS), this cascade amplification of signals provides enriched information to reconstruct the energy, position and other properties of the incoming primary CR particles. A setback is, once reaching the maximum at altitudes between 4,000 to 5,000 meters, the EAS events vanishe exponentially with the reduced altitude, as a result of energy losses and the absorption by the atmosphere. Therefore, if the observatory is located at a low-altitude site, it would detect much fewer EAS events.

The energetic particles from the cosmic rays can trigger a cascade amplification of chain reaction with the air nuclei, forming an extensive “air shower” of signals. LHAASO is located at an optimal altitude to intercept and record the maximum of them. (Image by IHEP)
Given the challenges, after decades of observation, instruments across the world only managed to find dozens of PeVatrons. A large part of them are detected by LHAASO, a third-generation CR observatory initiated and hosted by IHEP.
LHAASO
LHAASO is designed to explore the origin, propagation, and acceleration mechanism of CRs by observing multiple compositions in the EAS, including electromagnetic particles, muons and Cerenkov light. It never fails the expectation: Even during the testing and calibration phase, it demonstrated excellent performance and detected a dozen of PeVatrons, based on the data collected in an 11-month observation — with just a half-complete array. This discovery, published even before its formal operation, dispelled the myth that Galactic CRs could not go beyond the 1 PeV energy limit. LHAASO found no sign of “cutoff” up to 1PeV in gamma ray spectra; thus, it revealed that PeVatrons are ubiquitous in the Milky Way.
This has resulted from a combination of several advantages: optimal altitude, large effective collecting area, exceptional sensitivity, and wide observational range extending to several PeV.
Located in Daocheng County of Sichuan Province, China at an altitude 4,410 meters above sea level, LHAASO is situated at a prime depth in the atmosphere to intercept the EAS of a 1 PeV particle at its maximum. With vast effective areas mounting to 1.36 km2, and exceptional sensitivity, its three arrays can capture and precisely measure multiple compositions of EAS signals.
LHAASO marks the most sensitive instrument so far for UHE gamma-ray detection, and is expected to maintain this excellency for one or two decades. According to IHEP, the full arrays of LHAASO can detect a tiny flux as weak as to the 10-14 erg cm-2 s-1 level, substantially below the thresholds of other current and planned space-borne as well as ground-based gamma-ray detectors.
So far, LHAASO has contributed to the pool a total of 43 Galactic PeVatrons, suggesting that such UHE particle factories are ubiquitous in the Milky Way. Now, the team directly contributed to the quest for the mechanism of these powerful cosmic accelerators.

The LHAASO is designed with three major arrays of detectors. Located 4,410 meters above sea level on the Mt. Haizi in Daocheng County, Sichuan Province and covering an area of about 1.36 km2, it came into operation in 2021. Its complete arrays include the 5,195 electromagnetic particle detectors and 1,188 muon detectors installed in the square-kilometer complex array (KM2A), the 78,000 m2 Water Cherenkov Detector Array (WCDA), and the 18 telescopes in the Wide-Field-of-View Cherenkov Telescope Array (WFCTA). Combining these four detection techniques, LHAASO is able to measure cosmic rays omnidirectionally with multiple variables simultaneously. (Image: LHAASO Collaboration)
Microquasars Identified as PeVatrons
With their formidable gravity, blackholes keep accreting matter to their territories. Transforming gravitational potential energy or their rotational energy into heat, powerful blackholes can tear apart and heat up the matter on their accretion discs, and further ionize the particles to produce plasma. Therefore, some astrophysicists suggested that accreting BHs could be efficient accelerators capable of driving CR particles up to tens of PeV. Observational evidence, however, had been missing to verify such models and to determine how much these accreting BHs can contribute to the overall CR flux.
Now, with their latest discoveries, the LHAASO Collaboration answered both the questions.
Among the blackholes identified in the Milky Way, only two were previously detected with very-high energy (VHE) emissions. The team analyzed the dataset collected from December 2019 (when the instrument was still under construction) till December 31, 2024, and identified with high statistical confidence five microquasars as powerful accelerators. Four of them, respectively from SS 433, V4641 Sgr, GRS 1915+105, and MAXI J1820+070, gave off UHE gamma-rays; and one near to Cygnus X-1 emitted photons approaching the UHE band. All the five targets had been well-identified by past observations as microquasars of star masses; and the detection of UHE photons confirmed them as PeVatrons.
This marks the first observational evidence to connect the “knee” structure with a specific type of celestial body — blackhole-jet system.
An Interesting PeVatron: SS 433
The team found the source SS 433 particularly interesting: Its radiation varies with energy. Below 100 TeV, its gamma-ray emission originated from two point-like sources coinciding with the eastern and western lobes of its jet; however, above 100 TeV, the emission becomes an extended source spatially coinciding with a nearby giant atomic cloud identified in past observations by third-party instruments. This part of spectrum could not be fully explained by the Inverse Compton Scattering of electrons (a leptonic process) from the jet itself. Instead, the authors analyzed, it could be associated with the nearby giant atomic cloud: Protons accelerated in the black hole-jet system have diffused out and interacted with the ambient matter in the atomic cloud, producing UHE photons as by-products. In other words, at least part of the UHE gamma rays detected are actually secondary products from protons interacting with the atomic cloud (a hadronic process).

The significance maps and spectral energy distribution of SS 433 as measured by LHAASO. Panels (a)–(c) indicate that the distribution of detected photons varies with energy, with the UHE part spatially coincident with a nearby atomic cloud. Panel (d) gives spectra of the photons from the eastern and western lobes of the jet, in blue and red dots respectively, and the UHE photons in black. Panel (e) compares the photons of leptonic and hadronic origins as simulation, and the observed spectrum. Combination of photons from both hadronic and leptonic sources best fits the observed curve. (Image: LHAASO Collaboration)
Modelling supported their speculation. When interaction with the atomic cloud was put into consideration, the model fits very well with the observed spectrum.
The team found that another source, the one detected near V4641 Sgr, could be a potential “Super PeVatron.” Its gamma-ray spectrum extended up to 800 TeV. Again, its UHE emissions are difficult to explain via pure leptonic processes, hinting at a hadronic origin. If so, the UHE gamma rays could be secondary particles generated in collisions of the primary protons with ambient material. Given the energies of the detected gamma rays, the energies of the primary protons could be as high as around 10 PeV. This would crown it as a “Super PeVatron,” capable of driving protons to energies up to 10 PeV.

The first “Super PeVatron” was identified in February 2024 by LHAASO.
However, some theories predicted that the “knee” was dominated by heavy nuclei based on previous measurements; and within the Milky Way, light nuclei, especially proton, the lightest one, was impossible to get accelerated to energies beyond 0.1 PeV. Could this be true?
Protons of 10 PeV
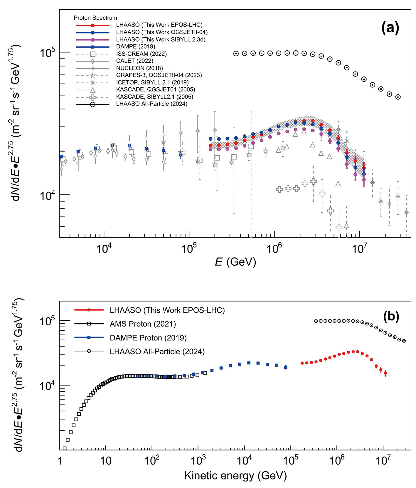
LHAASO itself answered this question with a groundbreaking observation. The next day, the team reported in Science Bulletin a high-purity identification of CR protons and a high-precision measurement of their energy spectrum. The team identified a large sample of proton events, with the highest energies beyond 10 PeV, by far and away exceeding the predicted threshold of 0.1 PeV. This definitively rules out the previous hypothesis that the knee region was dominated by heavy nuclei and that light nuclei like protons could not be effectively accelerated beyond 0.1 PeV.
Moreover, the team found an interesting “hardening” structure on the “knee.” The proton energy spectrum does not follow a simple negative power law. Instead, it exhibits two significant features: Below the knee, the spectrum becomes “harder,” namely going down more slowly with energy than at lower energies; and at 3.3 PeV, the spectrum goes sharply downward, exhibiting a “knee.” This structure is consistent with the knee in the all-particle CR spectrum, suggesting that protons could be a major contributor to the knee —falsifying the previously mentioned model.
This hardening also suggests the emergence of a new component of CRs at PeV energies, echoing the appearance of UHE photons from SS 433 and V4641 Sgr reported in the NSR paper.
This new component, said the authors, is likely linked to PeVatrons similar to those dozens of Galactic UHE-photon sources recently discovered by LHAASO. Among them, blackholes could be likely contributors for the energetic CRs above the knee in particular.

The “hardening” structure culminating at 3.3 PeV on the proton spectrum measured by the LHAASO Collaboration. (Image: LHAASO Collaboration)
Possible Accelerating Mechanisms
LHAASO’s observation so far, however, have not yet clearly identified the specific acceleration mechanisms and detailed acceleration sites in these BH-jet systems. With CR events accumulating, future observations might resolve the targets at higher statistics, anticipated the authors. In cooperation with other instruments, synchronized observations covering multiple wavelengths might offer opportunities to make more dedicated analyses of each microquasar. In that case, more certain conclusions will be possible.
Nevertheless, the team explained the potential accelerating mechanisms in their paper. Particles can be accelerated at different sites of the blackhole-jet system, said the authors. For example, at the “end points” where the relativistic jets terminate, shock waves can arise from the interactions between the jets and the surrounding medium to accelerate the particles. Judging from the nonthermal radiation observed from the jets of the microquasars, this could be a very likely accelerating mechanism. In other parts of the system, like the accretion disk, powerful sub-relativistic winds might also be launched to accelerate the particles.
A “Knee” in Greater Detail
Thus far, LHAASO has detected a large sample of CR particles at energies well above the knee with ~10% resolution. Combining the observation by AMS-02 experiment from the lower end, and the one by DAMPE satellite from the between, now we have a more complete view of the spectrum that gives a clear “knee-like structure.
“Altogether, the observations demonstrate that multiple types of accelerators exist in the Milky Way, each with unique accelerating capacity and energy threshold,” commented the team. “And the ‘knee’ may indicate the upper limit of the sources’ accelerating capacity.”

Observational data from AMS-02, DAMPE and LHAASO experiments demonstrate that cosmic rays are contributed by multiple types of accelerators in the cosmos, each with unique accelerating capacity and energy range. The “knee” may indicate the upper limit of the UHE sources’ accelerating capacity. (Image: LHAASO Collaboration)
The complicated structure on the “knee” of the proton spectrum implies, the authors continued, the protons beyond PeV have mainly come from “new sources” like microquasars, which are visibly much more powerful than the conventional sources, for example supernovae remnants.
The LHAASO observations provide the first clear evidence that stellar-mass blackhole binaries with relativistic jets are powerful natural particle accelerators operating up to the PeV scale. The results, especially for SS 433, indicate that these systems can accelerate both electrons and protons to UHE level, solidifying their role as significant contributors to the Galactic cosmic ray population.
Their discoveries provide crucial clues for understanding the origin and acceleration mechanisms of Galactic CRs, as well as the formation of the “knee.” The detection of sub-PeV photons demonstrates that microquasars are important contributors to the flux of Galactic CRs, particularly those observed around the “knee” region.
Based on the power output observed from the microquasars SS 433, the authors gave a constraint that the flux of CRs contributed by microquasars could be up to 1039 erg s-1, which is consistent with observation. This implies that the population of microquasars in the Milky Way could collectively account for the observed flux of petaelectronvolt cosmic rays.
Reference
Cao, Z., Aharonian, F.A., An, Q. et al. Ultrahigh-energy photons up to 1.4 petaelectronvolts from 12 γ-ray Galactic sources. Nature 594, 33–36 (2021). https://doi.org/10.1038/s41586-021-03498-z
Cao, Z., Aharonian, F.A., Bai, Y.X. et al. The LHAASO Collaboration. Ultrahigh-energy gamma-ray emission associated with black hole–jet systems. National Science Review, 12(12), nwaf496 (2025). https://doi.org/10.1093/nsr/nwaf496
HESS Collaboration. Acceleration of petaelectronvolt protons in the Galactic Centre. Nature 531, 476–479 (2016).
Huentemeyer, P. Hunting the strongest Accelerators in Our Galaxy. Nature 594, 30–31 (2021).
LHAASO Collaboration. Precise measurements of the cosmic ray proton energy spectrum in the “knee” region. Science Bulletin 70, 4173–4180 (2025). https://doi.org/10.1016/j.scib.2025.10.048

