By SONG Jianlan

EAST, the world’s first fully superconducting Tokamak device. (Image: ASIPP)
A breakthrough achieved by a team working on the Experimental Advanced Superconducting Tokamak (EAST), the success in steadily operating a high-confinement plasma of 100-million degree Celsius for 1,066 seconds, ranks first in the list of top 10 news for S&T advances of China for the year 2025, as elected by Members of the Chinese Academy of Sciences (CAS) and the Chinese Academy of Engineering. The list was released on Jan 26, 2026.
EAST, located at the Institute of Plasma Physics of CAS (ASIPP), Hefei Institutes of Physical Science, Chinese Academy of Sciences, dubbed as China’s “Artificial Sun,” is the first fully superconducting tokamak in the world.
Back on Jan 20, 2025, the EAST team produced a long pulse of high-confinement plasma of 100 million degree Celsius, and kept it operating steadily for 1,066 seconds, creating a new world record for high-confinement operation of tokamaks. This success validated the feasibility of stable high-confinement operation in tokamaks, paving the way for engineering practice, and inspiring future construction and operation of experimental fusion reactor(s).

A snapshot from the experiment: The moment marking 1,066 seconds of steady running of the high-confinement plasma at 100 million degrees Celsius. (Image: ASIPP)

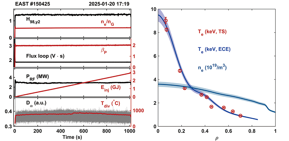
Observed parameters of the EAST achieving a 1,066-second steady-state high-confinement plasma. (Image: ASIPP)
To trigger a fusion reaction, the plasma has to be heated to 100 million degrees. At such high temperatures, the plasma would melt down the container/reactor itself. Tokamaks, which confine the high-temperature plasma with high magnetic fields distributed poloidally and toroidally, can avoid this problem. In a tokamak, the plasma can be confined within a limited space without touching on the container, just like rapidly flowing in an invisible pipe. Therefore, even if it is heated to over 100 million degrees, no melting down of the container would occur. Travelling along the extremely intense magnetic field lines (up to around 3.5 T), the plasma can produce a strong electric current of over one million amperes.
Under certain conditions (e.g. when the heating power exceeds a threshold), the plasma can enter a “high-confinement mode” (H-mode) where a sharp barrier arises on the edge of the plasma to stop the heat and the particles from transporting outside (Edge Transport Barrier, ETB), forcing them to flow within a restricted “track” First discovered in 1982 at the Axially Symmetric Divertor Experiment (ASDEX) Tokamak in Germany, it is now the primary operational mode targeted for future fusion reactors, as it can improve the temperature at the core, enabling the temperature required for igniting a nuclear fusion.
A challenge in maintaining the H-mode is, the short, periodic instabilities called “edge localized modes” (ELMs) can spontaneously occur to damage the ETB. This instability can trigger a sudden collapse of the temperature and density pedestal at the edge of the plasma. Subsequently, intense heat flux can abruptly run “off track” and burst out onto the wall of the tokamak, overwhelming the involved apparatuses, like the divertor. The fragments could be released into the plasma; and the joining of this large amount of impurities can tear apart and interrupt the plasma. Therefore, it is very challenging to maintain a high-confinement plasma in steady state for a long time.
To maintain the H-mode at a steady state, the EAST team extended the plasma physics frontier to manage the ELM. One reaps what he sows. Now their efforts were rewarded.
Since its launch in 2006, the EAST has operated over 150,000 shots of plasma, setting a series of milestones. In 2012, it first ran a high-confinement plasma steadily for over 30 seconds, and soon broke this record itself in 2016 with a 60-second steady high-confinement plasma. The next year, the team succeeded in a 101-second steady run of a high-confinement plasma; and over the past few years, it further made significant progress. Before the success in 1,066-second steady high-confinement plasma, it achieved a 403-second steady high-confinement plasma in 2023.

